Rüstung ist eine Eigenschaft der Warframes welche den eingehenden Schaden an der Gesundheit verringert, allerdings nicht bei Schilden Anwendung findet. Der Rüstungswert der Warframes kann mit dem Stahlfasern und dem Gepanzerte Beweglichkeit Mod erhöht werden.
Der Schaden nach Rüstung wird mit folgender Formel berechnet:
Endgültiger Schaden = Schaden mit Mods * Abschwächungsmultiplikator
Schadensberechnung mit Rüstung[]
Seit Update 11:
Abschwächungsmultiplikator = 1 / (1 + (Rüstung / 300))
Daher,
Schaden = Schaden mit Mods / (1 + (Rüstung / 300))
Beachtet, dass der Abschwächungsmultiplikator die Prozentzahl des Schadens ist, der durch die Rüstung dringt.
Zum Beispiel; Die Lecta fügt ohne Mods 35 Grundschaden als
Elektro durch, dadurch hat sie keinerlei Modifikatoren gegen Grineer. Greift man nun einen Level 1 Sturmsoldat mit einer Rüstung von 100 an, fügt man ihm 26 Schaden an seiner Gesundheit zu. Die Berechnung lautet: 35 / (1 + (100 / 300)) = 26,25, was gerundet wird auf 26.
Greift man stattdessen einen Grineer Soldat mit 150 Rüstung auf Level 1 an (ebenfalls die Lecta wie oben), fügt man 23 Gesundheitsschaden zu. Die Berechnung lautet in diesem Fall: 35 / (1 + (150 / 300)) = 23,33, was auf 23 gerundet wird.
Rüstung als Graph[]
Rüstungsabschwächung und ihre Effizienz.
Dieser Graph visualisiert die Schadensabschwächung als eine Funktion von Rüstung in Lila und der Rüstungseffizienz in Orange.
Hier kann man sehen, dass Rüstung mit der Zeit ineffektiver bei der Schadensabschwächung wird. Eine Frame mit 100 Rüstung negiert 25% des eingehenden Schaden, also 0,25 pro Schadenspunkt. Eine Frame mit 300 Rüstung negiert 50% des Schaden, was nur noch 0,16 Prozent pro Schadenspunkt entspricht.
Abnehmende Wirksamkeit (Diminishing Returns)[]
Diminishing Returns: Ein englischer Fachbegriff aus der Wirtschaftstheorie und heißt im deutschen soviel wie Gesetz des sinkenden Ertrags. Er findet häufig Anwendung bei theoretischen Betrachtungen der Gesetzmäßigkeiten in Rollenspielen und anderen (z.B. die Nützlichkeit von Stärke, Gesundheit, Rüstung usw.). Die Idee dahinter ist, daß ein Extrapunkt in etwas (z.B. Rüstung) weniger Ertrag/Nutzen/Leistung bringt, als der Punkt davor. Also das zum Beispiel der 100. Punkt in Rüstung nicht so effektiv ist wie der 99. Punkt.
Aufgrund der Art und Weise wie Rüstung aktuell skaliert (siehe unten), werden Gegner exponentiell schwieriger je mehr sie im Level ansteigen und obwohl bei zunehmender Rüstung der Effekt der abnehmenden Wirksamkeit einsetzt, ist es sinnvoller zu untersuchen wieviel mehr Schaden man austeilen muss, um den Gegner zu töten.
Eine Frame mit 100/150/300/600 Rüstung die 25%/33%/50%/66% Schaden negiert, benötigt 33%/50%/100%/200% mehr Schaden um getötet zu werden. (+0,33% pro Punkt)
Also hat, in Bezug auf den benötigten Schaden, der Effekt der abnehmenden Effektivität keinerlei Wirkung, sondern steigt kontinuierlich um 0,33% pro Punkt.
Aus diesem Grund ist die Effektive Gesundheit eine bessere Möglichkeit den Effekt von Rüstung zu untersuchen.
Warframe Rüstung & Effektive Gesundheit[]
Alle Warframes haben einen Rüstungswert und damit Schadensabschwächung. Die Berechnungen für den Schaden den eine Warframe erhält, sind die gleichen wie oben. Zusätzlich lässt sich jedoch auch die Effektive Gesundheit errechnen, die aussagt, wieviel eingehenden Schaden es benötigt, bis man bei 0 Gesundheit angelangt ist (basierend auf dem aktuellen Gesundheits- und Rüstungswert). Die effektive Gesundheit berechnet sich wie folgt:
Gesundheit / Abschwächungsmultiplikator
Effektive Gesundheit = Basisgesundheit * (1 + (Rüstung / 300))
Zum Beispiel:
- Eine Level 30 Valkyr hat 300 Gesundheit sowie 600 Rüstung und ist damit der Warframe mit dem höchsten Rüstungswert im Spiel (Stand Update 12).
- Ihre effektive Gesundheit auf Level 30 ist demnach 300 * 3 = 900 und es würde also diese Anzahl an Schaden benötigen, um sie auszuschalten.
- Eine Level 30 Valkyr mit einem maximierten Stahlfasern Mod hätte immernoch 300 Gesundheit, allerdings 1260 Rüstung. Dies hat zur Folge, dass sie nun eine effektive Gesundheit von 300 * 5.2 = 1560 besitzt (siehe Graph unten).
Der aktuell einzige Weg die Rüstung eines Warframe zu erhöhen, ist über den Stahlfasern Mod, und den "Gepanzerte Beweglichkeit" Mod - bitte besucht deren Seiten für weitergehende Informationen zu ihren Effekten. Außerdem erhöht mindestens eine der neuen Augur Mods (Gladiator) die mit dem Update "Plains of Eidolon" eingeführt wurden ebenso den Rüstungswert.

Der obige Graph vergleicht die effektive Gesundheit der Warframes untereinander. Die Berechnungen sind einmal ohne zusätzliche Mods (also nur auf Basis der maximalen Gesundheit und Rüstung), einmal mit einem maximierten Stahlfasern Mod (+110% Rüstung), einmal mit einem maximierten Vitalitäts Mod (+440% Gesundheit) und einmal alles zusammen.
Gegnerische Rüstung[]
Die Rüstung der Gegner funktioniert in ihrer Berechnung genauso wie die Rüstung der Warframes, allerdings skaliert sie mit dem Level der Gegner und wird nur angewandt, wenn die Gegner tatsächlich Rüstung besitzen, was durch einen gelben Gesundheitsbalken angezeigt wird. Die meisten Corpus und Befallenen haben keine Rüstung, während die meisten Grineer eine besitzen.
Die Skalierung der gegnerischen Rüstung funktioniert mit folgender Formel:
Rüstung = Basisrüstung * (1 + (((aktueller Level - Basislevel) ^ 1.75) / 200)) *¹
- Basisrüstung: Rüstungswert des Gegners.
- aktueller Level: Das Level des Gegners.
- Basislevel: Dies ist der initiale Level bei dem ein Gegner erscheint. Dies ist wichtig, da einige Gegner, wie z.B. die Kanoniere, erst ab einem bestimmten Level erscheinen (z.B. die Kanoniere auf Level 8). Also obwohl sie Level 30 sind, wurde ihre Rüstung weniger als 30mal skaliert.
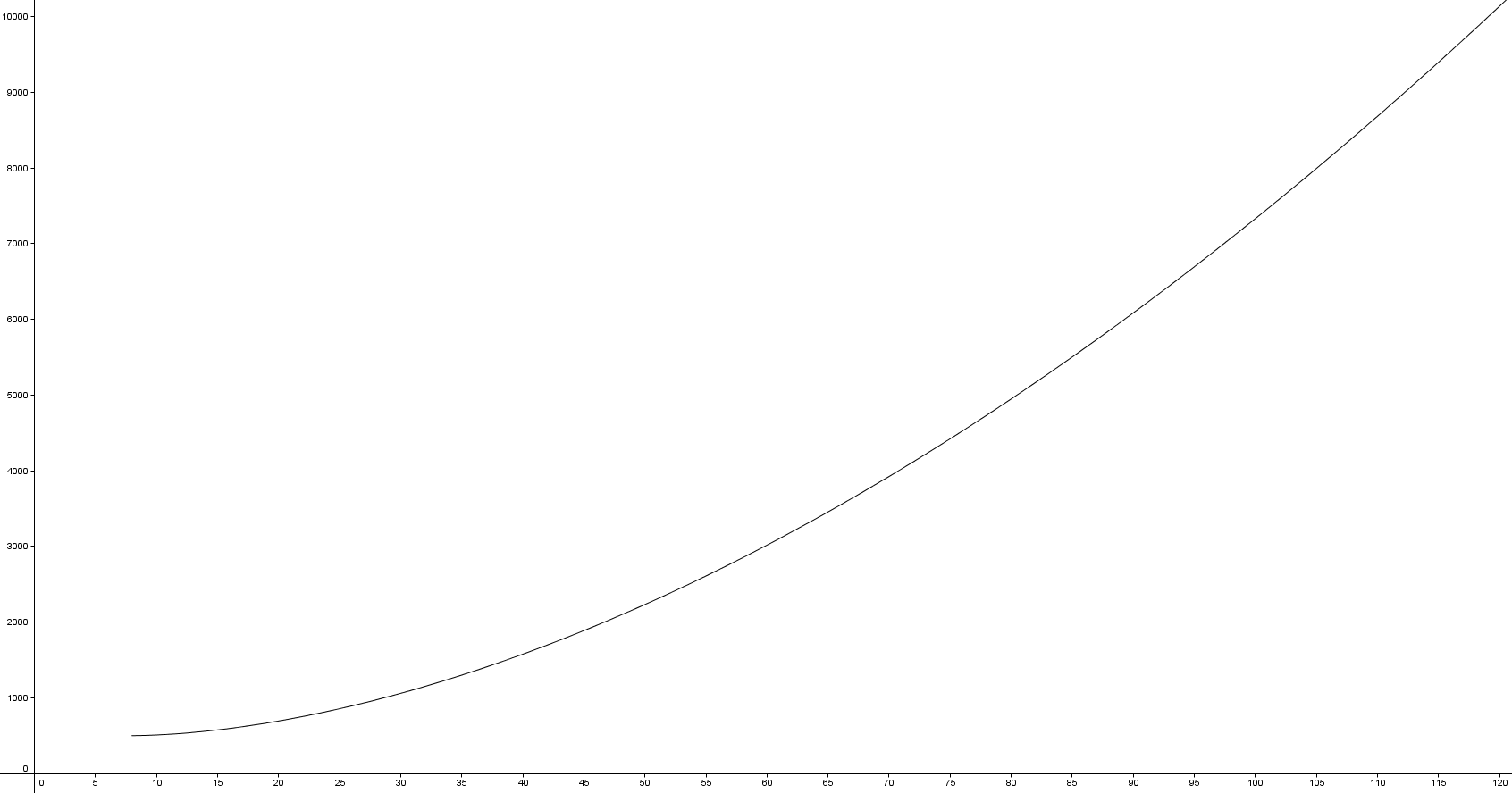
Wie bereits erwähnt, bewirkt diese Formel das hochlevelige Grineer (ungefähr ab Level 50) sehr schwer zu töten sind, wie man am folgenden Beispiel eines 108 Kanonier sehen kann:
Rüstung = 500 * (1 + (((108 - 8) ^ 1.75) / 200)) = 500 * (1 + (3162 / 200)) = 500 * 16,81 = 8405
Daraus folgt der 'Abschwächungsmultiplikator:
Abschwächungsmultiplikator = 1 / (1 + (8405 / 300)) = 0,0345
Als Folge davon wird der Schaden des Spielers dramatisch reduziert, da man nur ca. ~3,45% des "ursprünglichen" Schadens zufügt.
*¹ einige mathematische Fakten; (aufgrund der anders aussehenden Formeln):
- Basisrüstung * (1 + ist äquivalent zu Basisrüstung + (Basisrüstung *
- / 200 ist äquivalent zu * 0,005
Zum Beispiel. Rüstung = Basisrüstung + (Basisrüstung * 0,005 * ((aktueller Level - Basislevel) ^ 1.75)) kommt zu dem gleichen Ergebnis wie die obige Formel.
Dieser Graph zeigt die Rüstung eine Kanoniers bis Level 120.